基本信息:
中文名称 1-萘胺-4-磺酸钠
中文别名 4-氨基-1-萘磺酸钠盐;4-氨基-1-萘磺酸钠四水合物;对氨基萘磺酸钠盐;1-氨基-4-萘磺酸钠;
英文名称 4-Amino-1-Naphthalenesulfonic Acid Sodium Salt
英文别名 Sodium 1-Naphthylamine-4-sulfonate;Sodium Naphthionate;Sodium 4-amino-1-naphthalenesulfonate;Sodium 1-Naphthylamine-4-sulfonate Tetrahydrate;Sodium 4-Amino-1-naphthalenesulfonate Tetrahydrate;1-Naphthylamine-4-sulfonic Acid Sodium Salt Tetrahydrate;4-Amino-1-naphthalenesulfonic Acid Sodium Salt;Naphthionic Acid Sodium Salt;Sodium 4-aminonaphthalene-1-sulfonate;1-Naphthylamine-4-sulfonic Acid Sodium Salt;Sodium Naphthionate Tetrahydrate;4-Amino-1-naphthalenesulfonic Acid Sodium Salt Tetrahydrate;Naphthionic Acid Sodium Salt Tetrahydrate;
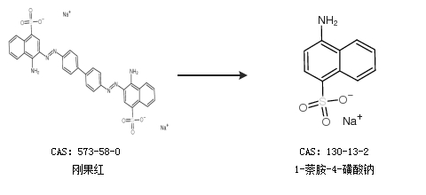
CAS号 130-13-2
合成路线:
1.通过4-氨基萘-1-磺酸合成1-萘胺-4-磺酸钠

2.通过刚果红合成1-萘胺-4-磺酸钠

更多路线和参考文献可参考