基本信息:
中文名称 1-甲基-3-异丁基-4-氨基脲嘧啶
中文别名 4-氨基-3-异丁基-1-甲基嘧啶-2,6-二酮;
英文名称 6-amino-3-methyl-1-(2-methylpropyl)pyrimidine-2,4-dione
英文别名 6-amino-1-isobutyl-3-methyl-1H-pyrimidine-2,4-dione;1-METHYL-3-ISOBUTYL-4-AMINOURACIL;6-Amino-1-isobutyl-3-methyl-1H-pyrimidin-2,4-dion;4-AMINO-3-ISOBUTYL-1-METHYLPYRIMIDINE-2,6-DIONE;
CAS号 58481-39-3
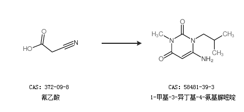
合成路线:
1.通过4-氨基-3-异丁基嘧啶-2,6-二酮和硫酸二甲酯合成1-甲基-3-异丁基-4-氨基脲嘧啶

2.通过氰乙酸合成1-甲基-3-异丁基-4-氨基脲嘧啶

更多路线和参考文献可参考