你好,欢迎来到中华试剂网 购试剂 买耗材! [请登录][注册有惊喜]

货号快速下单 | 签到送积分   | 会员中心 | 客服热线:400-021-2765

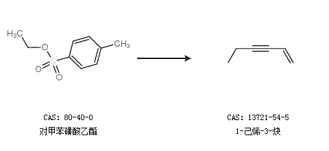
1-己烯-3-炔的合成路线有哪些?

提问时间:2021/4/20 8:13:58
1-己烯-3-炔有什么方法可以合成?

1条回复:

匿名
2021/4/20 8:13:58
基本信息:
中文名称 1-己烯-3-炔
英文名称 hex-1-en-3-yne
英文别名 hex-3-yn-1-ene;Hex-1-en-3-in;Ethylvinylacetylene;1-Hexene-3-yne;1-Hexen-3-yne;Vinylethylacetylene;
CAS号 13721-54-5

合成路线:
1.通过硫酸二乙酯合成1-己烯-3-炔


2.通过对甲苯磺酸乙酯合成1-己烯-3-炔


更多路线和参考文献可参考
回复