基本信息:
中文名称 1-己烯-3-醇
中文别名 丙基乙烯基甲醇;3-羟基己-1-烯;
英文名称 1-Hexen-3-ol
英文别名 hex-1-En-3-ol;1-Vinylbutanol;1-Hexen-2-ol;Propylvinylcarbinol;Hex-1-en-3-ol;3-Hydroxy-1-hexene;1-Hexene-3-ol;Hex-1-ene-3-ol;FEMA 3608;
CAS号 4798-44-1
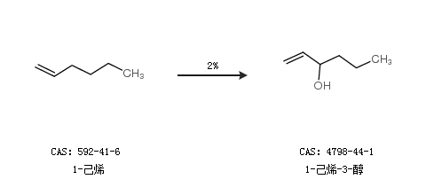
合成路线:
1.通过乙烯基溴化镁和丁醛合成1-己烯-3-醇,收率约99%;

2.通过1-己烯合成1-己烯-3-醇,收率约2%;

更多路线和参考文献可参考