基本信息:
中文名称 1-Boc-L-吖啶-2-羧酸
中文别名 1-BOC-L-环丁胺-2-羧酸;(S)-N-叔丁氧羰基-吖啶-2-羧酸;(S)-1-BOC-氮杂环丁烷-2-甲酸;1-Boc-L-氮杂环丁烷-2-羧酸;1-Boc-(S)-氮杂环丁烷-2-羧酸;(S)-N-BOC-氮杂环丁烷酸;(S)-1-叔丁氧羰基-氮杂环丁烷-2-甲酸;(S)-N-BOC-氮杂环丁烷羧酸;(S)-N-BOC-吖啶-2-羧酸;
英文名称 1-Boc-L-azetidine-2-carboxylic acid
英文别名 (S)-N-BOC-Azetidine-2-carboxylic acid;(S)-1-(tert-Butoxycarbonyl)azetidine-2-carboxylic acid;1-Boc-(S)-Azetidine-2-Carboxylic Acid;(2S)-1-[(2-methylpropan-2-yl)oxycarbonyl]azetidine-2-carboxylic acid;
CAS号 51077-14-6
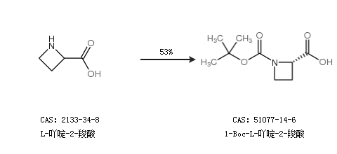
合成路线:
1.通过L-吖啶-2-羧酸合成1-Boc-L-吖啶-2-羧酸,收率约99%;

2.通过L-吖啶-2-羧酸合成1-Boc-L-吖啶-2-羧酸,收率约53%;

更多路线和参考文献可参考