你好,欢迎来到中华试剂网 购试剂 买耗材! [请登录][注册有惊喜]

货号快速下单 | 签到送积分   | 会员中心 | 客服热线:400-021-2765

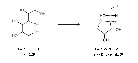
1,4-脱水-D-山梨醇的合成路线有哪些?

提问时间:2021/4/20 8:13:58
1,4-脱水-D-山梨醇有什么方法可以合成?

1条回复:

匿名
2021/4/20 8:13:58
基本信息:
中文名称 1,4-脱水-D-山梨醇
英文名称 1,4-anhydrosorbitol
英文别名 1,4-Anhydro-D-sorbitol;D-GLUCITOL,1,4-ANHYDRO-;1,4-dianhydrosorbitol;1,4-ANHYDRO-D-GLUCITOL;
CAS号 27299-12-3

合成路线:
1.通过D-山梨醇合成1,4-脱水-D-山梨醇


2.通过D-山梨醇合成1,4-脱水-D-山梨醇


更多路线和参考文献可参考
回复