你好,欢迎来到中华试剂网 购试剂 买耗材! [请登录][注册有惊喜]

货号快速下单 | 签到送积分   | 会员中心 | 客服热线:400-021-2765

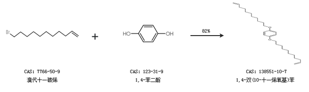
1,4-双(10-十一烯氧基)苯的合成路线有哪些?

提问时间:2021/4/20 8:13:58
1,4-双(10-十一烯氧基)苯有什么方法可以合成?

1条回复:

匿名
2021/4/20 8:13:58
基本信息:
中文名称 1,4-双(10-十一烯氧基)苯
英文名称 1,4-Bis(10-undecenyloxy)benzene
英文别名 1,4-bis(undec-10-enoxy)benzene;
CAS号 138551-10-7

合成路线:
1.通过溴代十一碳烯和1,4-苯二酚合成1,4-双(10-十一烯氧基)苯,收率约82%;


更多路线和参考文献可参考
回复