你好,欢迎来到中华试剂网 购试剂 买耗材! [请登录][注册有惊喜]

货号快速下单 | 签到送积分   | 会员中心 | 客服热线:400-021-2765

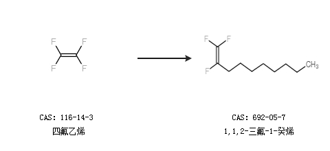
1,1,2-三氟-1-癸烯的合成路线有哪些?

提问时间:2021/4/20 8:13:57
1,1,2-三氟-1-癸烯有什么方法可以合成?

1条回复:

匿名
2021/4/20 8:13:57
基本信息:
中文名称 1,1,2-三氟-1-癸烯
英文名称 1,1,2-trifluorodec-1-ene
英文别名 1,1,2-trifluoro-dec-1-ene;PC6459;1,1,2-TRIFLUORO-1-DECENE;1,1,2-Trifluor-1-decen;1,1,2-tris(fluoranyl)dec-1-ene;
CAS号 692-05-7

合成路线:
1.通过四氟乙烯合成1,1,2-三氟-1-癸烯


更多路线和参考文献可参考
回复