你好,欢迎来到中华试剂网 购试剂 买耗材! [请登录][注册有惊喜]

货号快速下单 | 签到送积分   | 会员中心 | 客服热线:400-021-2765

1-(对甲苯胺基)萘的合成路线有哪些?

提问时间:2021/4/20 8:13:57
1-(对甲苯胺基)萘有什么方法可以合成?

1条回复:

匿名
2021/4/20 8:13:57
基本信息:
中文名称 1-(对甲苯胺基)萘
中文别名 N-(对甲苯基)-1-萘胺;N-对甲苯基-1-萘胺;
英文名称 <i>N</i>-(<i>p</i>-Tolyl)-1-naphthylamine
英文别名 N-(4-methylphenyl)naphthalen-1-amine;
CAS号 634-43-5

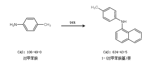
合成路线:
1.通过1-萘硼酸和对甲苯胺合成1-(对甲苯胺基)萘,收率约86%;


2.通过对甲苯胺合成1-(对甲苯胺基)萘,收率约94%;


更多路线和参考文献可参考
回复