基本信息:
中文名称 1-(1(2H)-苊烯亚基)-1,2-二氢苊烯
英文名称 1-(1(2H)-acenaphthylenylidene)-1,2-dihydroacenaphthylene
英文别名 1-[Acenaphthylen-1(2H)-ylidene]-1,2-dihydroacenaphthylene;2H,2''H-[1,1'']biacenaphthylenylidene;Biacenaphthylidin;
CAS号 2435-82-7
合成路线:
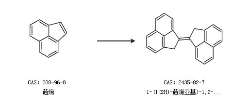
1.通过苊烯合成1-(1(2H)-苊烯亚基)-1,2-二氢苊烯

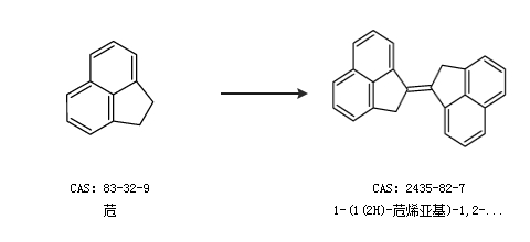
2.通过苊合成1-(1(2H)-苊烯亚基)-1,2-二氢苊烯

更多路线和参考文献可参考