基本信息:
中文名称 (s)-1-溴-4-甲基-2-戊胺
英文名称 (2S)-1-bromo-4-methylpentan-2-amine
英文别名 2-Pentanamine,1-bromo-4-methyl-,(S)-(9CI);(S)-1-bromo-4-methyl-2-pentanamine;1-(Bromomethyl)-3-methylbutylamine;2-Pentanamine,1-bromo-4-methyl-,(S);
CAS号 74605-21-3
合成路线:
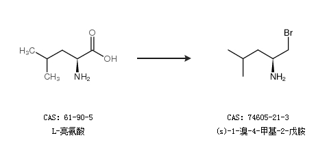
1.通过L-亮氨酸合成(s)-1-溴-4-甲基-2-戊胺

2.通过L-亮氨醇合成(s)-1-溴-4-甲基-2-戊胺

更多路线和参考文献可参考