基本信息:
中文名称 (S)-(-)-紫苏醇
中文别名 对薄荷-1,8-二烯-7-醇;L-紫苏醇;(-)-紫苏子醇;
英文名称 (-)-perillyl alcohol
英文别名 p-Mentha-1,8-diene-7-ol;(S)-p-Mentha-1,8-dien-7-ol,(S)-4-Isopropenyl-1-cyclohexenylmethanol;tri-otolylboroxine;(-)-PERILLYL ALCOHOL;
CAS号 18457-55-1
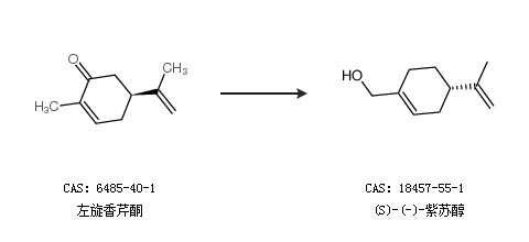
合成路线:
1.通过左旋香芹酮合成(S)-(-)-紫苏醇

2.通过(S)-(-)-柠檬烯合成(S)-(-)-紫苏醇

更多路线和参考文献可参考