基本信息:
中文名称 (9ci)-2-(2-甲基丙基)-4-噻唑羧酸乙酯
英文名称 4-Thiazolecarboxylicacid,2-(2-methylpropyl)-,ethylester(9CI)
英文别名 ethyl 2-isobutylthiazole-4-carboxylate;ethyl 2-isobutyl-1,3-thiazole-4-carboxylate;
CAS号 882305-14-8
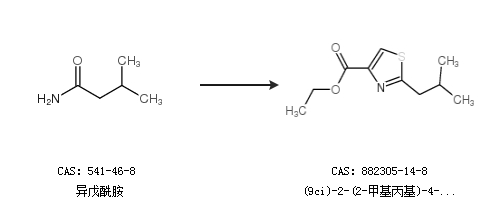
合成路线:
1.通过异戊酰胺合成(9ci)-2-(2-甲基丙基)-4-噻唑羧酸乙酯

2.通过3-甲基丁烷硫代酰胺和3-溴丙酮酸乙酯合成(9ci)-2-(2-甲基丙基)-4-噻唑羧酸乙酯

更多路线和参考文献可参考