基本信息:
中文名称 (5-氯-1-戊炔基)三甲基硅烷
中文别名 1-氯-5-三甲基硅烷-4-戊炔;
英文名称 5-chloropent-1-ynyl(trimethyl)silane
英文别名 5-chloro-1-trimethylsilylpent-1-yne;1-Chloro-5-trimethylsilyl-4-pentyne;1-trimethylsilyl-5-chloro-1-pentyne;
CAS号 77113-48-5
合成路线:
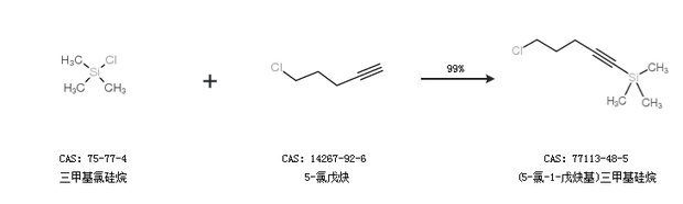
1.通过三甲基氯硅烷和5-氯戊炔合成(5-氯-1-戊炔基)三甲基硅烷,收率约99%;

2.通过5-氯戊炔和三氟甲磺酸三甲基硅酯合成(5-氯-1-戊炔基)三甲基硅烷,收率约86%;

更多路线和参考文献可参考