你好,欢迎来到中华试剂网 购试剂 买耗材! [请登录][注册有惊喜]

货号快速下单 | 签到送积分   | 会员中心 | 客服热线:400-021-2765

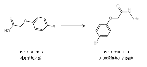
(4-溴苯氧基)-乙酸肼的合成路线有哪些?

提问时间:2021/4/20 8:13:57
(4-溴苯氧基)-乙酸肼有什么方法可以合成?

1条回复:

匿名
2021/4/20 8:13:57
基本信息:
中文名称 (4-溴苯氧基)-乙酸肼
英文名称 2-(4-Bromophenoxy)acetohydrazide
英文别名 para-bromo-phenoxyacetyl hydrazide;
CAS号 16738-00-4

合成路线:
1.通过(4-溴苯氧基)乙酸乙酯合成(4-溴苯氧基)-乙酸肼,收率约90%;


2.通过对溴苯氧乙酸合成(4-溴苯氧基)-乙酸肼


更多路线和参考文献可参考
回复