基本信息:
中文名称 (2-羟乙基)三乙基碘化铵
中文别名 (2-羟乙基)三乙胺碘;
英文名称 (2-HYDROXYETHYL)TRIETHYLAMMONIUM IODIDE
英文别名 TRIETHYLCHOLINE IODIDE;n,n,n-triethyl-2-hydroxy-ethanaminiuiodide;Ammonium,(2-hydroxyethyl)triethyl-,iodide;Hydroxyethyltriethylammoniumiodide;Triaethyl-(2-hydroxy-aethyl)-ammonium,Jodid;(2-hydroxyethyl)triethyl-ammoniuiodide;Ethanaminium,N,N,N-triethyl-2-hydroxy-,iodide;TRIETHYL-(2-HYDROXYETHYL)AZANIUM;triethyl(2-hydroxyethyl)ammoniumiodide;n,n,n-triethyl-2-hydroxyethanaminiumiodide;
CAS号 5957-17-5
合成路线:
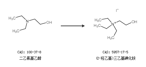
1.通过二乙氨基乙醇合成(2-羟乙基)三乙基碘化铵

2.通过碘乙烷合成(2-羟乙基)三乙基碘化铵

更多路线和参考文献可参考