基本信息:
中文名称 (2S)-2-氨基丁酰胺
中文别名 L-ALFA-氨基丁酸胺;
英文名称 (2S)-2-aminobutanamide
英文别名 I14-4102;(2S)-2-aminobutyramide;L-2-Amino-butyramid;(S)-2-aminobutyramide;(S)-2-amino-butanamide;
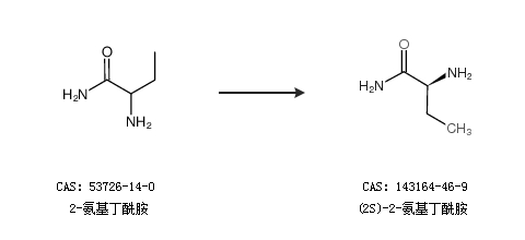
CAS号 143164-46-9
合成路线:
1.通过DL-2-氨基丁酸甲酯盐酸盐合成(2S)-2-氨基丁酰胺

2.通过2-氨基丁酰胺合成(2S)-2-氨基丁酰胺

更多路线和参考文献可参考