基本信息:
中文名称 (+/-)-儿茶精
中文别名 DL-儿茶素;3,3ˊ,4ˊ,5,7-五羟基黄烷;四水合-DL-儿茶素;儿茶邻苯二酚;DL-儿茶素(四水);3,3'',4'',5,7-五羟基黄烷;儿茶素;儿茶素水合物;儿茶素(C);DL-儿茶精;
英文名称 Catechin Hydrate
英文别名 trans-3,3'',4'',5,7-Pentahydroxyflavane;Catechin;
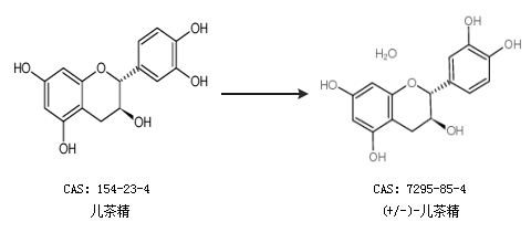
CAS号 7295-85-4
合成路线:
1.通过儿茶精合成(+/-)-儿茶精

2.通过表儿茶素合成(+/-)-儿茶精

更多路线和参考文献可参考