基本信息:
中文名称 1,3-二硝基苯
中文别名 间二硝基苯;
英文名称 1,3-dinitrobenzene
英文别名 1,3-Dinitrobenzene;m-Dinitrobenzene;m-DNB;3-DINITROBENZENE;Dinitrobenzene;M-DINITROBENZENE;meta-Dinitrobenzene;1,3-Dinitrobenzol;2,4-Dinitrobenzene;2,5-DIMETHYLTHIOPHENE;Benzene,1,3-dinitro;Benzene,m-dinitro;BENZENE, 1,3-DINITRO-;
CAS号 99-65-0
合成路线:
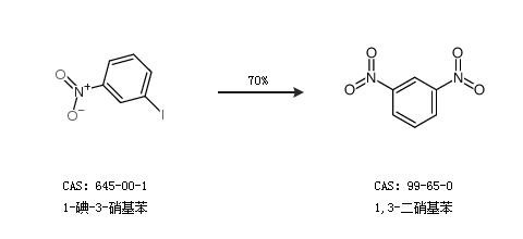
1.通过1-碘-3-硝基苯合成1,3-二硝基苯,收率约70%;

2.通过1-溴-3-碘苯合成1,3-二硝基苯,收率约63%;

合成路线仅供参考