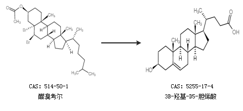
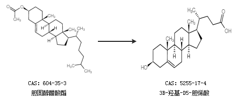
基本信息:
中文名称 3B-羟基-D5-胆烯酸
中文别名 3β-羟基-D5-胆烯酸;3β-羟基-Δ5-胆烯酸;3β-羟基-5-胆稀酸;
英文名称 3BETA-HYDROXY-DELTA5-CHOLENIC ACID
英文别名 Cholenic acid;5-CHOLENIC ACID-3BETA-OL;3b-Hydroxy-5-cholenoic acid;3β-Hydroxy-DELTA5-cholenic Acid;5-cholenic acid-3B-ol;
CAS号 5255-17-4
合成路线:
1.通过醋溴考尔合成3B-羟基-D5-胆烯酸

2.通过胆固醇醋酸酯合成3B-羟基-D5-胆烯酸

合成路线仅供参考