基本信息:
中文名称 2,2''-二(三氟甲基)二氨基联苯
中文别名 2,2’-二(三氟甲基)二氨基联苯;2,2’-双(三氟甲基)-4,4’-二氨基联苯;2,2''-双(三氟甲基)-4,4''-二氨基联苯;4,4''-二氨基-2,2''-双(三氟甲基)联苯;2,2''-双(三氟甲基)二氨基联苯;2,2''-双(三氟甲基)联苯胺;
英文名称 4-[4-amino-2-(trifluoromethyl)phenyl]-3-(trifluoromethyl)aniline
英文别名 2,2''-BIPYRIDYL-6,6''-DICARBALDEHYDE;2,2''-Bis(trifluoromethyl)-[1,1''-biphenyl]-4,4''-diamine;2,2′-Bis(trifluoromethyl)benzidine;2,2''-Bis-trifluoromethyl-biphenyl-4,4''-diamine;4,4''-Diamino-2,2''-bis(trifluoromethyl)biphenyl;2,2‘-Bis(trifluoromethyl)benzidine;2,2''-Bis(trifluoromethyl)benzidine;
CAS号 341-58-2
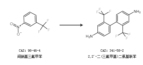
合成路线:
1.通过间硝基三氟甲苯和锌合成2,2''-二(三氟甲基)二氨基联苯

2.通过间硝基三氟甲苯合成2,2''-二(三氟甲基)二氨基联苯

合成路线仅供参考