基本信息:
中文名称 N-月桂酰肌氨酸钠
中文别名 十二烷基肌氨酸钠;N-月桂酰肌氨酸钠水合物;月桂酰基甘氨酸钠;十二烷基肌氨酸钠;
英文名称 Sodium lauroylsarcosinate
英文别名 SARCOSYL NL;N-Lauroyl sarcosine sodium salt;Sodium N-Lauroylsarcosinate;sodium N-lauroyl-sarcosinate;Compound 105;GardolR;Sodium N-Dodecanoylsarcosinate;SARCOSYL;N-Lauroylsarcosine sodium salt;N-Dodecanoyl-N-methylglycine sodium salt,Sarkosyl NL;Maprosyl 30;Sarcosyl,Sarkosyl NL,Sodium N-dodecanoyl-N-methylglycinate;Sodium N-Lauroylsarcosinate;SARKOSYL NL;SARKOSYL;GARDOL;N-Dodecanoylsarcosine Sodium Salt;SARKOSYL NL-30;
CAS号 137-16-6
合成路线:
1.通过月桂酰氯和肌氨酸钠合成N-月桂酰肌氨酸钠

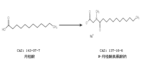
2.通过月桂酸合成N-月桂酰肌氨酸钠

合成路线仅供参考