基本信息:
中文名称 (S)-(+)-1-Cbz-3-氨基吡咯烷
中文别名 (S)-1-Cbz-3-氨基吡咯烷;(S)-1-苄氧羰基-3-氨基吡咯烷;
英文名称 (S)-1-Cbz-3-Aminopyrrolidine
英文别名 (S)-(+)-3-Amino-1-(benzyloxycarbonyl)pyrrolidine;(S)-(+)-1-Cbz-3-aminopyrrolidine;benzyl (3S)-3-aminopyrrolidine-1-carboxylate;
CAS号 122536-72-5
合成路线:
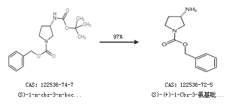
1.通过(S)-1-n-cbz-3-n-boc-氨基吡咯烷合成(S)-(+)-1-Cbz-3-氨基吡咯烷,收率约97%;

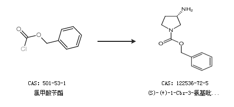
2.通过氯甲酸苄酯合成(S)-(+)-1-Cbz-3-氨基吡咯烷

合成路线仅供参考