基本信息:
中文名称 4-庚基-4''-氰基联苯
中文别名 4-氰基-4’-庚基联苯;4-氰基-4''-庚基联苯;对庚基联苯腈;4''-庚基-(1,1''-联苯)-4-腈;
英文名称 4''-Heptyl-4-biphenylcarbonitrile
英文别名 4''-Heptyl-[1,1''-biphenyl]-4-carbonitrile;4-Cyano-4''-heptylbiphenyl;4-(4-heptylphenyl)benzonitrile;
CAS号 41122-71-8
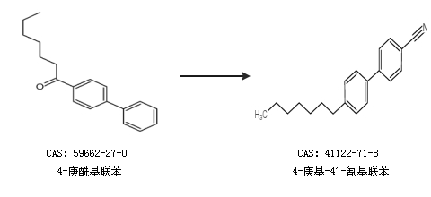
合成路线:
1.通过氰化亚铜合成4-庚基-4''-氰基联苯,收率约83%;

2.通过4-庚酰基联苯合成4-庚基-4''-氰基联苯

合成路线仅供参考