基本信息:
中文名称 7,8-二羟基黄酮
英文名称 7,8-DIHYDROXYFLAVONE
英文别名 7,8-dihydroxy-2-phenylchromen-4-one;7,8-Dihydroxy-2-phenyl-4H-chromen-4-one;7,8-Dihydroxyflavone;7,8-Dihydroxyflavone Hydrate;
CAS号 38183-03-8
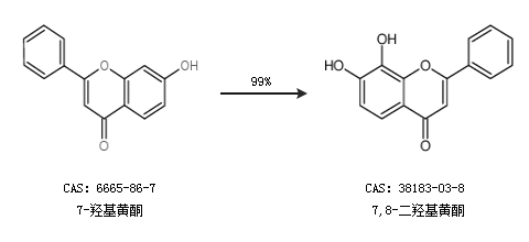
合成路线:
1.通过7-羟基黄酮合成7,8-二羟基黄酮,收率约99%;

2.通过2,3,4-三羟基苯乙酮合成7,8-二羟基黄酮

合成路线仅供参考