基本信息:
中文名称 7-异丙氧基异黄酮
中文别名 (依普黄酮);7-羟异黄酮异丙氧醚;7-异丙氧基-3-苯基-4H-1-苯并吡喃-4-酮;伊普黄酮;依普瑞丰;依普黄酮;依普拉封;
英文名称 ipriflavone
英文别名 Ipriflavone;4-isopropoxyisoflavone;7-isopropyloxy-isoflavone;FL-113;Yambolap;7-Isopropoxy-3-phenyl-4H-1-benzopyran-4-one;3-phenyl-7-propan-2-yloxychromen-4-one;Osteofix;Ipriflavone (Osteofix);7-Isopropoxyisoflavone;Osten;7-isopropoxy-isoflavone;Osteoquine;
CAS号 35212-22-7
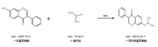
合成路线:
1.通过7-羟基异黄酮和2-溴丙烷合成7-异丙氧基异黄酮,收率约94%;

2.通过7-羟基异黄酮、2-溴丙烷和仲丁醇合成7-异丙氧基异黄酮,收率约96%;

合成路线仅供参考