基本信息:
中文名称 商陆皂苷元
英文名称 Phytolaccagenin
英文别名 2-carbomethoxy-10,11-dihydroxy-2,6a,6b,9,12a-pentamethyl-9-methylol-1,3,4,5,6,6a,7,8,8a,10,11,12,13,14b-tetradecahydropicene-4a-carboxylic acid;Jaligonic acid 30-methyl ester;
CAS号 1802-12-6
合成路线:
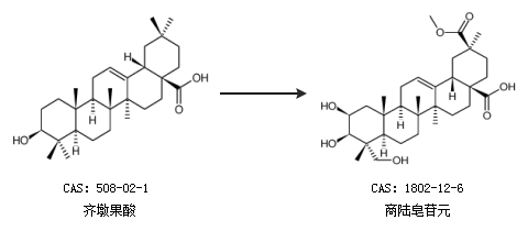
1.通过齐墩果酸合成商陆皂苷元

合成路线仅供参考