基本信息:
中文名称 四己基溴化铵
中文别名 四正己基溴化铵;
英文名称 TETRA-N-HEXYLAMMONIUM BROMIDE
英文别名 TETRAHEXYLAMMONIUM BROMIDE,FOR IPC;n,n,n-trihexyl-1-hexanaminiubromide;TetrahexylaMMoniuM BroMide;TETRAHEXYLAMMONIUM BROMIDE;Tatrehexylammonium Bromide;N,N,N-trihexyl-1-hexanaminiumbromide;
CAS号 4328-13-6
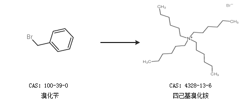
合成路线:
1.通过溴化苄合成四己基溴化铵

合成路线仅供参考