基本信息:
中文名称 氧嗪酸钾
中文别名 草酰钾;1,4,5,6-四氢-4,6-二氧-1,3,5-三嗪-2-羧酸钾;4,6-二羟基-1,3,5-噻嗪-2-羧酸钾盐;4,6-二羟基-1,3,5-噻嗪-2-羧酸钾盐;奥替拉西钾;
英文名称 potassium,4,6-dioxo-1H-1,3,5-triazine-2-carboxylate
英文别名 Oxonic acid,potassium salt;5-Aza-orotsaeure K-Salz;Potassium Oxonate;Potassium 4,6-Dihydroxy-1,3,5-triazine-2-carboxylate;Potassium azaorotate;Allantoxanic Acid Potassium Salt;potassium 1,4,5,6-tetrahydro-4,6-dioxo-1,3,5-triazine-2-carboxylate;Allantoxanic acid;oxonic acid,potassium salt;Oxonic acid potassium salt;Potassium oxonate;Allantoxanic acid potassium salt;oteracil potassium;Oxonate,potassium;Oxonic acid;monopotassium 1,2,3,4-tetrahydro-2,4-dioxo-1,3,5-triazine-6-carboxylate;Oxonate;Potassium Allantoxanate;
CAS号 2207-75-2
合成路线:
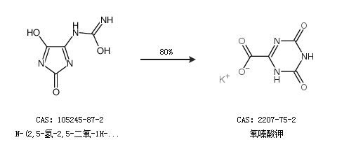
1.通过N-(2,5-氢-2,5-二氧-1H-咪唑-4-烷基)-脲合成氧嗪酸钾,收率约80%;

合成路线仅供参考