基本信息:
中文名称 雷公藤甲素
中文别名 雷藤素甲;雷公藤内酯醇;
英文名称 triptolide
英文别名 (3bS,4aS,5aS,6R,6aR,7aS,7bS,8aS,8bS)-3b,4,4a,6,6a,7a,7b,8b,9,10-decahydro-6-hydroxy-8b-methyl-6a-(1-methylethyl)trisoxireno[4b,5:6,7:8a,9]phenanthro[1,2-c]furan-1(3H)-one;Triptolide (PG490);TRIPTOLIDE;triptolid;triptergium wilfordii;PG490;,7as,7bs,8as,8bs);(3bS,4aS,5aS,6R,6aR,7aS,7bS,8aS,8bS)-3b,4,4a,6,6a,7a,7b,8b,9,10-decahydro-6-hydroxy-6a-isopropyl-8b-methyltrisoxireno[6,7:8a,9:4b,5]phenanthro[1,2-c]furan-1(3H)-one;Triptolide?;TRIPTOLIDE TLC;Triptolide(PG490);
CAS号 38748-32-2
合成路线:
1.通过雷公藤内酯酮合成雷公藤甲素,收率约31%;

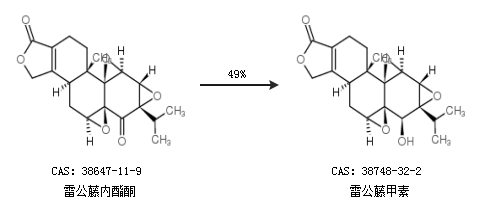
2.通过雷公藤内酯酮合成雷公藤甲素,收率约49%;

合成路线仅供参考