基本信息:
中文名称 杀虫环草酸盐
中文别名 虫噻烷;甲硫环;N,N-二甲基-1,2,3-三硫杂环已烷-5-胺草酸盐;杀螟环;易卫杀;N,N-二甲基1,2,3-三硫杂环已烷-5-胺基草酸盐;硫环杀;杀虫环;
英文名称 thiocyclam oxalate
英文别名 Thiocyclam hydrogenoxalate;N,N-dimethyl-1,2,3-trithian-5-ylamine oxalate (1:1);san1551;Sulfoxane;Thiocyclam hydrogen oxalate;N,N-dimethyl-1,2,3-trithian-5-amine ethanedioate (1:1);Thiocyclam oxalate;evisekt;NERISECT;thiocyclamhydrogeneoxalate;san155;Evisect;san155i;oxalic acid—N,N-dimethyl-1,2,3-trithian-5-amine;
CAS号 31895-22-4
合成路线:
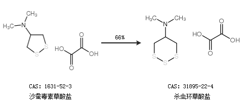
1.通过沙蚕毒素草酸盐合成杀虫环草酸盐,收率约66%;

合成路线仅供参考