基本信息:
中文名称 四溴双酚 A
中文别名 四溴双酚A;4,4''-异亚丙基双(2,6-二溴苯酚);3,3'',5,5''-四溴双酚A;2,2-二(2,6-二溴-4-羟基苯基)丙烷;4,4''-(1-甲基亚乙基)双(2,6-二溴)苯酚;2,2'',6,6''-四溴双酚A;
英文名称 3,3'',5,5''-tetrabromobisphenol A
英文别名 ba59;SAYTEX RB-100;FR-1524;tetrabromobisphenol-A;TBBA;saytexrb100pc;4,4''-Isopropylidenebis(2,6-dibromophenol);Tetrabromobisphenol A;fireguard2000;FG 2000;Bromdian;
CAS号 79-94-7
合成路线:
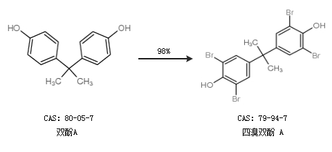
1.通过双酚A合成四溴双酚 A,收率约98%;

合成路线仅供参考