基本信息:
中文名称 叔丁基氢醌
中文别名 叔丁基对苯二酚/TBHQ;叔丁基-1,4-苯酚;2-叔丁基对苯二酚;2-叔丁基-1,4-二羟基苯;叔丁基对苯二酚;特丁基对苯二酚;邻叔丁基对苯二酚;
英文名称 2-tert-butylhydroquinone
英文别名 MTBHQ;Tert-Butylhydroquinone;Mono-tert-butylhydroquinone;2-tert-butylbenzene-1,4-diol;t-Butyl hydroquinone;tert-Butylhydroquinone;tert-Butylhydroquinone (TBHQ);Hydroquinone,tert-butyl;TBHQ;2-tert-butyl-1,4-dihydroxybenzene;2-tert-butyl-hydroquinone;2-(1,1-Dimethylethyl)-1,4-benzenediol;
CAS号 1948-33-0
合成路线:
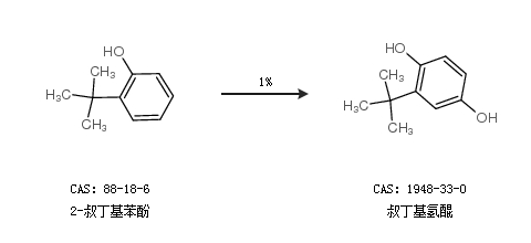
1.通过2-叔丁基苯酚合成叔丁基氢醌,收率约1%;

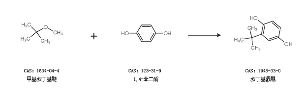
2.通过甲基叔丁基醚和1,4-苯二酚合成叔丁基氢醌

合成路线仅供参考