基本信息:
中文名称 1-丁烷磺酸钠
中文别名 丁烷磺酸钠;正丁烷磺酸钠;丁烷-1-磺酸钠盐;
英文名称 sodium,butane-1-sulfonate
英文别名 1-Butanesulfonic acid sodium salt;SodiuM 1-Butanesulfonate;IPC-ALKS-4;Sodium butane-1-sulfonate;sodium 1-butanesulfonate;1-Butanesulfonic acid,sodium salt;sodium butanesulfonate;Sodium butylsulfonate;sodium butane-1-sulfonate;Sodium butane-1-sulphonate;
CAS号 2386-54-1
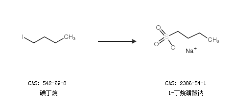
合成路线:
1.通过正溴丁烷合成1-丁烷磺酸钠

2.通过碘丁烷合成1-丁烷磺酸钠

合成路线仅供参考