基本信息:
中文名称 野黄芩苷
中文别名 高黄芩甙;野黄芩甙;野黄芩甙;灯盏花乙素;灯盏花乙素;
英文名称 scutellarin
英文别名 5,6-Dihydroxy-2-(4-hydroxyphenyl)-4-oxo-4H-1-benzopyran-7-yl-β-D-glucopyranosiduronic acid;Scutellarin;Scutellarein 7-b-D-glucuronide;Breviscapin Scutellarein-7-O-β-D-glucuronide;7-(β-D-Glucopyranuronosyloxy)-5,6-dihydroxy-2-(4-hydroxyphenyl)-4H-1-benzopyran-4-one;Scutellarein 7-;
CAS号 27740-01-8
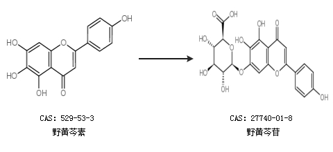
合成路线:
1.通过野黄芩素合成野黄芩苷

合成路线仅供参考