基本信息:
中文名称 牛蒡子苷元
中文别名 牛蒡苷元;
英文名称 (-)-Arctigenin
英文别名 (-)-arctigenine;(2S)-2-[(2S,12bS)-1,2,3,4,6,7,12,12b-octahydroindolo[2,3-a]quinolizin-2-yl]but-3-en-1-ol;(3R,4R)-4-(3,4-dimethoxybenzyl)-3-(4-hydroxy-3-methoxybenzyl)dihydrofuran-2(3H)-one;(-)-antirhine;Arctigenin;2-(1,2,3,4,6,7,12,12b-octahydro-indolo[2,3-a]quinolizin-2-yl)-but-3-en-1-ol;
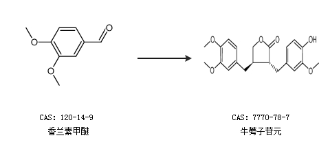
CAS号 7770-78-7
合成路线:
1.通过香兰素甲醚合成牛蒡子苷元

中华试剂网提醒:合成路线仅供参考