基本信息:
中文名称 异辛烷/甲苯
中文别名 2,2'',3,4,4'',5,5''-七氯联苯;2,2,3,4,4,5,5-七氯联苯;
英文名称 1,2,3,4-tetrachloro-5-(2,4,5-trichlorophenyl)benzene
英文别名 2,2'',3,4,4'',5,5''-Heptachloro-1,1''-biphenyl;2,2'' DIAOBENZOPHENONE;PCB No 180;2,2'',3,4,4'',5,5''-heptachlorobiphenyl;1,1''-Biphenyl,2,2'',3,4,4'',5,5''-heptachloro;PCB No 180 solution;PCB 180;BCR298_FLUKA;
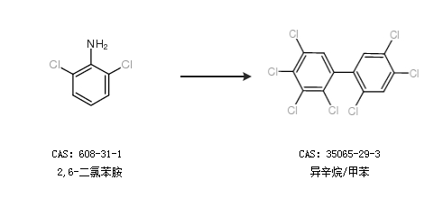
CAS号 35065-29-3
合成路线:
1.通过1,3-二氯-2-碘苯合成异辛烷/甲苯

2.通过2,6-二氯苯胺合成异辛烷/甲苯

合成路线仅供参考