基本信息:
中文名称 2,2,3,3,4,4,5-七氯联苯
中文别名 2,2'',3,3'',4,4'',5-七氯联苯;
英文名称 1,2,3,4-tetrachloro-5-(2,3,4-trichlorophenyl)benzene
英文别名 PCB No 170;1,1''-Biphenyl,2,2'',3,3'',4,4'',5-heptachloro;PCB 170;2,2'',3,3'',4,4'',5-HEPTACHLOROBIPHENYL;2,2'',3,3'',4,4'',5-Heptachloro-1,1''-biphenyl;2,2'',3,3'',4,4'',5-heptachlorinated biphenyl;
CAS号 35065-30-6
合成路线:
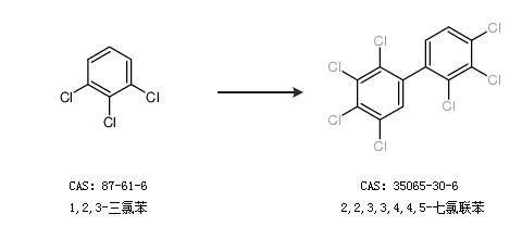
1.通过1,2,3-三氯苯合成2,2,3,3,4,4,5-七氯联苯

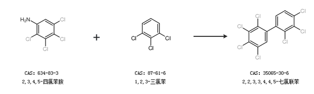
2.通过2,3,4,5-四氯苯胺和1,2,3-三氯苯合成2,2,3,3,4,4,5-七氯联苯

合成路线仅供参考