基本信息:
中文名称 5-硝基吲唑
中文别名 5-硝基-1H-1,2-二氮杂茚;5-硝基-1H-吲唑;5-硝基-1H-吲唑;5-硝基-1H-1,2-二氮杂茚,5-硝基-1H-吲哚;
英文名称 5-Nitroindazole
英文别名 5-Nitro-1H-indazole;5-nitro-1H-indazole;
CAS号 5401-94-5
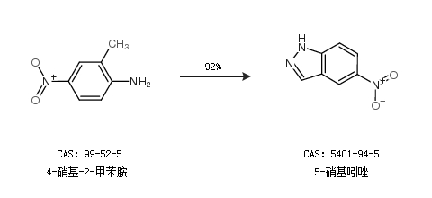
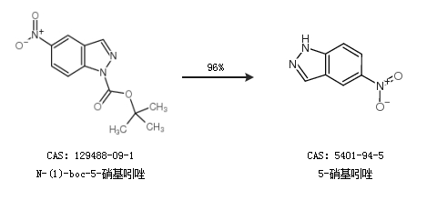
合成路线:
1.通过4-硝基-2-甲苯胺合成5-硝基吲唑,收率约92%;

2.通过N-(1)-boc-5-硝基吲唑合成5-硝基吲唑,收率约96%;

合成路线仅供参考