基本信息:
中文名称 亚硫酸氢钠甲萘醌
中文别名 Α-甲基-1,4-萘醌亚硫酸氢钠;维生素 K3-MSB,1,2,3,4-四氢-2-甲基-1,4-二氧代-2-萘磺酸钠盐;2-甲基-1,4-萘醌亚硫酸氢钠;維生素K3;1,2,3,4-四氢-2-甲基-1,4-二氧代-2-萘磺酸钠盐;2-甲基-1,4-萘醌硫酸氢钠;
英文名称 menadione sodium sulfonate
英文别名 sodium 1,2,3,4-tetrahydro-2-methyl-1,4-dioxo-2-naphthalenesulfonate;msbc;ido-k;kawitan;2-Methyl-1,4-naphthoquinone sodium bisulfite;kalzon;hemoklot;kavitan;Menadione sodium bisulfite;sodium 2-methyl-1,2,3,4-tetrahydronaphthalene-1,4-dione-2-sulfonate;golagenk;hykinone;vikasol;klotogen;
CAS号 130-37-0
合成路线:
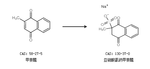
1.通过甲萘醌合成亚硫酸氢钠甲萘醌

2.通过2-甲基萘合成亚硫酸氢钠甲萘醌,收率约17%;

合成路线仅供参考