基本信息:
中文名称 芹菜素
中文别名 4'',5,7-三羟基黄酮;5,7,4''-三羟基黄酮;4'',5,7-三羟基黄酮;芹黄素;5,7-二羟基-2-(4-羟基苯基)-4H-苯并吡喃-4-酮;芹黄素,4'',5,7-三羟基黄酮,5,7,4''-三羟基黄酮;芹黄素;
英文名称 apigenin
英文别名 4'',5,7-Trihydroxyflavone;Pelargidenone;Versuline;5,7-Dihydroxy-2-(4-hydroxyphenyl)-4H-chromen-4-one;Apigenin;5,7,4''-trihydroxyflavone;apigenol;Celery seed extract;CHAMOMILE;4'',5,7-trihydroxyflavone;Versulin;
CAS号 520-36-5
合成路线:
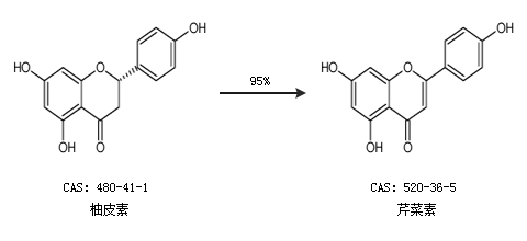
1.通过柚皮素合成芹菜素,收率约95%;

2.通过5,7,4-三甲氧基黄酮合成芹菜素,收率约89%;

中华试剂网提醒 合成路线仅供参考