基本信息:
中文名称 异绿原酸B
中文别名 3,4-二咖啡酰奎宁酸;
英文名称 (1S,3R,4R,5R)-3,4-Bis[[(E)-3-(3,4-dihydroxyphenyl)prop-2-enoyl]oxy]-1,5-dihydroxycyclohexane-1-carboxylic acid
英文别名 IsochlorogenicacidB;ISOCHLOROGENIC ACID B(RG);3,4-Dicaffeoylquinic acid;(1S,3R,4R,5R)-3,4-bis{[(2E)-3-(3,4-dihydroxyphenyl)-1-oxoprop-2-en-1-yl]oxy}-1,5-dihydroxycyclohexanecarboxylic acid;Isochlorogenic acid B(3,4'');4,5-di-O-caffeoylquinic acid;4,5-di-O-trans-caffeoyl-D-quinic acid;4,5-di-O-trans-caffeoylquininc acid;Quinic acid 3,4-di-O-caffeate;3,4-Di-O-caffeoylquinic acid;
CAS号 14534-61-3
合成路线:
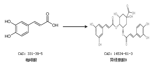
1.通过咖啡酸合成异绿原酸B

2.通过咖啡酸合成异绿原酸B

合成路线仅供参考