基本信息:
中文名称 3,3,3-三氟丙酮酸乙酯
中文别名 三氟丙酮酸乙酯;
英文名称 Ethyl trifluoropyruvate
英文别名 Ethyl 3,3,3-trifluoropyruvate;Ethyl 3,3,3-trifluoro-2-oxopropanoate;Ethyltrifluoropyruvate;ethyl 3,3,3-trifluoro-2-oxopropanoate;Ethyl Trifluoropyruvate;Trifluoropyruvic Acid Ethyl Ester;
CAS号 13081-18-0
合成路线:
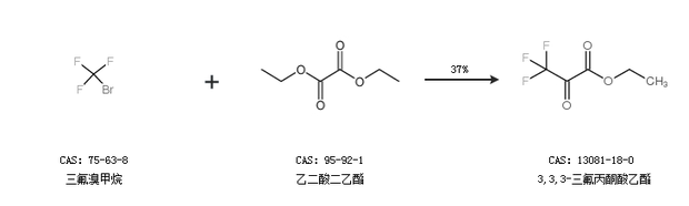
1.通过三氟溴甲烷和乙二酸二乙酯合成3,3,3-三氟丙酮酸乙酯,收率约37%;

2.通过乙醇合成3,3,3-三氟丙酮酸乙酯

中华试剂网提醒 合成路线仅供参考