基本信息:
中文名称 三乙酰丙酮铝
中文别名 乙酰丙酮铝;2,6-乙酰丙酮铝(III);三(2,4-戊二酮)铝(III);乙酰丙酮化铝(III)盐;乙酰丙酮化铝(III);
英文名称 Aluminum acetylacetonate
英文别名 ALUMINUM(III) AA;Alumin;Acetylacetone Aluminum(III) Salt;aluminum(III) trisacetylacetonate;Dotite Al;Al(acac)3,Aluminum 2,4-pentanedionate;Nacem Aluminum;tris-pentane-2,4-dionato aluminium;Aluminium acetylacetonate;Aluminum triacetylacetone;AL(ACAC)3;Aluminum 2,4-pentanedionate;Aluminum Acetylacetonate;ACETYLACETONE ALUMINIUM;aluminium acetylacetonate;Aluminum acetoacetonate;Tris(2,4-pentanedionato)aluminum(III);Aluminum Chelate A;aluminum acetyl acetonate;Alumium acety acetonate;Aluminum(III) acetylacetonate;aluminium tris(acetylacetonate);
CAS号 13963-57-0
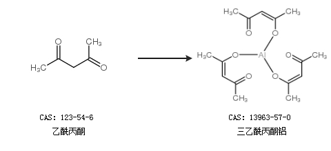
合成路线:
1.通过乙酰丙酮合成三乙酰丙酮铝,收率约93%;

2.通过乙酰丙酮合成三乙酰丙酮铝

合成路线仅供参考