基本信息:
中文名称 地奥斯明
中文别名 地奥司明;
英文名称 diosmin
英文别名 Diosmine;Diosimin;3'',5,7-trihydroxy-4''-methoxyflavone 7-rutinoside;Barosmin;diosmetin-7-rhamnoglucoside;UNII-7QM776WJ5N;3'',5,7-Trihydroxy-4''-methoxyflavone 7-Rutinoside;5-hydroxy-2-(3-hydroxy-4-methoxyphenyl)-7-[(2S,3R,4S,5S,6R)-3,4,5-trihydroxy-6-[[(2R,3R,4R,5R,6S)-3,4,5-trihydroxy-6-methyloxan-2-yl]oxymethyl]oxan-2-yl]oxychromen-4-one;Venosmine;
CAS号 520-27-4
合成路线:
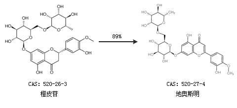
1.通过橙皮苷合成地奥斯明,收率约89%;

合成路线仅供参考