基本信息:
中文名称 D-塔格糖
中文别名 塔格糖;塔格糖;D-万寿菊糖;
英文名称 D-tagatopyranose
英文别名 D-LYXO-HEXULOSE;P-TAGATOSE;D-lyxo-2-Hexulose;(3S,4S,5R)-1,3,4,5,6-Pentahydroxyhexan-2-one;D-TAGATOSE;TAGLOSE;d-tagatos;TAGATOSE,D;
CAS号 87-81-0
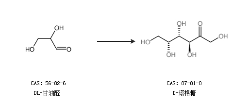
合成路线:
1.通过D-(-)-果糖和D-(-)-果糖合成D-塔格糖

2.通过DL-甘油醛合成D-塔格糖

合成路线仅供参考