基本信息:
中文名称 4,4''-二甲基-2,2''-联吡啶
中文别名 4,4’-二甲基-2,2’-联吡啶;2,2''-二-4-甲基吡啶;2,2''-Bi(γ-picoline);2,2''-联-4-甲基吡啶;
英文名称 4,4''-Dimethyl-2,2''-bipyridyl
英文别名 4,4''-Dimethyl-2,2''-dipyridyl;2,2''-Bi-4-picoline;4-methyl-2-(4-methylpyridin-2-yl)pyridine;2,2''-Di-4-picolyl;4,4‘-Dimethyl-2,2‘-bipyridyl;4,4''-Dimethyl-2,2''-bipyridine;4,4’-Dimethyl-2,2‘-dipyridyl;
CAS号 1134-35-6
合成路线:
1.通过2-溴-4-甲基吡啶合成4,4''-二甲基-2,2''-联吡啶,收率约78%;

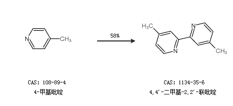
2.通过4-甲基吡啶合成4,4''-二甲基-2,2''-联吡啶,收率约58%;

合成路线仅供参考