基本信息:
中文名称 4,4’-偶氮二苯胺
中文别名 4,4''-偶氮二苯胺;对二氨基偶氮苯;
英文名称 4,4''-diaminoazobenzene
英文别名 4-[(4-aminophenyl)diazenyl]aniline;4,4′-Diaminoazobenzene;4,4‘-Azodianiline;4,4-Azodianiline;
CAS号 538-41-0
合成路线:
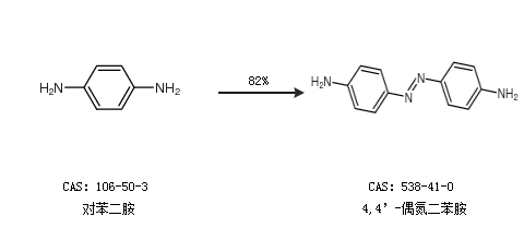
1.通过对苯二胺合成4,4’-偶氮二苯胺,收率约82%;

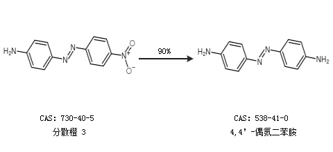
2.通过分散橙 3合成4,4’-偶氮二苯胺,收率约90%;

中华试剂网提醒 合成路线仅供参考