基本信息:
中文名称 2'',4'',5''-三羟基苯丁酮
中文别名 2, 4, 4'', 6-四氯联苯;2,4,5-三羟基苯丁酮;2,4,4'',6-四氯联苯;
英文名称 1-(2,4,5-trihydroxyphenyl)butan-1-one
英文别名 USAF EK;2,4,4'',6-TETRACHLOROBIPHENYL;Thbp;trihydroxybutyrophenone;Butyrophenone,2'',4'',5''-trihydroxy;2,4,5-trihydroxybutyrophenone;
CAS号 1421-63-2
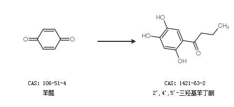
合成路线:
1.通过苯醌合成2'',4'',5''-三羟基苯丁酮

2.通过丁酸酐和1,2,4-苯三酚合成2'',4'',5''-三羟基苯丁酮

中华试剂网提醒:合成路线仅供参考