基本信息:
中文名称 L-鸟氨酸
中文别名 2,5-二氨基戊酸;鸟氨酸;
英文名称 L-ornithine
英文别名 2,5-diaminopentanoic acid;L,5 diaminopentanoic acid;L-Ornithine;5-Amino-L-norvaline;(S)-2,5-Diaminovaleric acid;(2S)-2,5-Diaminopentanoic acid;
CAS号 70-26-8
合成路线:
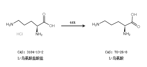
1.通过L-鸟氨酸盐酸盐合成L-鸟氨酸,收率约44%;

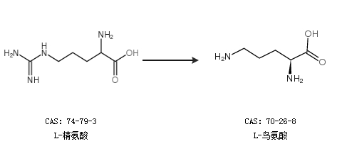
2.通过L-精氨酸合成L-鸟氨酸

中华试剂网提醒:合成路线仅供参考